Skip to content Skip to sidebar Skip to footer

Widget HTML #1

How To Find Marginal Cost Function : Marginal cost marginal cost is the derivative of the cost function, so take the derivative and evaluate it at x = 100.

How To Find Marginal Cost Function : Marginal cost marginal cost is the derivative of the cost function, so take the derivative and evaluate it at x = 100.. Thus, the marginal cost at x = 100 is $15 — this is the approximate cost of producing the 101st widget. This only means of course that the price of one unit of a good is equal to the cost (fixed + variable) of producing it. Please subscribe here, thank you!!! Apr 25, 2021 · calculate the marginal cost, marginal revenue and the marginal profit of producing 7 5 75 7 5 phones. How do you calculate cost function?

Apr 25, 2021 · calculate the marginal cost, marginal revenue and the marginal profit of producing 7 5 75 7 5 phones. Total cost is made up of fixed cost and variable cost. Marginal cost is the change in 'total cost' when quantity produced changes by 1 unit. This calculus video tutorial provides a basic introduction into marginal cost and average cost. If c is the cost of producing an output x, then marginal cost function mc = dc/dx.

Marginal Cost Definition Equation Formula Video Lesson Transcript Study Com
Marginal Cost Definition Equation Formula Video Lesson Transcript Study Com from study.com
Total cost is made up of fixed cost and variable cost. Marginal cost marginal cost is the derivative of the cost function, so take the derivative and evaluate it at x = 100. To calculate marginal cost at 7 5 75 7 5 units, we take the derivative of the cost function and then evaluate the derivative at x = 7 5 x=75 x = 7 5. The marginal cost function is the first derivative of the to. Marginal cost = change in costs / change in quantity marginal cost represents the incremental costs incurred when producing additional units of a good or service. How do you calculate cost function? How does a firm calculate marginal cost? It is calculated by taking the total cha.

Using integration, as the reverse process of differentiation, we obtain, cost function c = ∫ ( mc ) dx + k.

Marginal cost calculator this marginal cost calculator allows you to calculate the additional cost of producing more units using the formula: It is calculated by taking the total cha. How does a firm calculate marginal cost? Using integration, as the reverse process of differentiation, we obtain, cost function c = ∫ ( mc ) dx + k. Apr 25, 2021 · calculate the marginal cost, marginal revenue and the marginal profit of producing 7 5 75 7 5 phones. Please subscribe here, thank you!!! You are right that in perfect competition, price = marginal cost. Marginal cost marginal cost is the derivative of the cost function, so take the derivative and evaluate it at x = 100. This only means of course that the price of one unit of a good is equal to the cost (fixed + variable) of producing it. Thus, the marginal cost at x = 100 is $15 — this is the approximate cost of producing the 101st widget. To calculate marginal cost at 7 5 75 7 5 units, we take the derivative of the cost function and then evaluate the derivative at x = 7 5 x=75 x = 7 5. This calculus video tutorial provides a basic introduction into marginal cost and average cost. How do you calculate cost function?

It is calculated by taking the total cha. Marginal cost = change in costs / change in quantity marginal cost represents the incremental costs incurred when producing additional units of a good or service. You are right that in perfect competition, price = marginal cost. How do you calculate cost function? How does a firm calculate marginal cost?

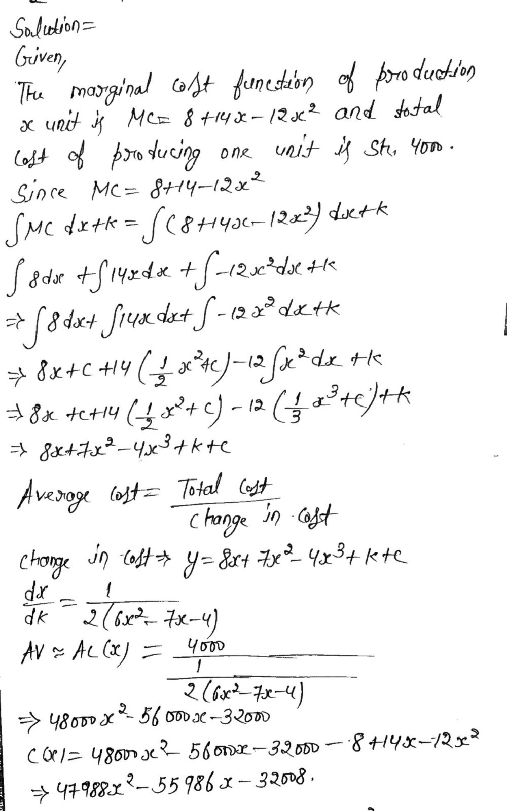
Question 8 The Marginal Cost Function For A Good Is Chegg Com
Question 8 The Marginal Cost Function For A Good Is Chegg Com from media.cheggcdn.com
Thus, the marginal cost at x = 100 is $15 — this is the approximate cost of producing the 101st widget. C ′ ( x) = 1 2 x + 3 4 c' (x)=12x+34 c ′ ( x) = 1 2 x + 3 4. Using integration, as the reverse process of differentiation, we obtain, cost function c = ∫ ( mc ) dx + k. You are right that in perfect competition, price = marginal cost. Please subscribe here, thank you!!! This calculus video tutorial provides a basic introduction into marginal cost and average cost. How do you calculate marginal opportunity cost? The marginal cost function is the first derivative of the to.

How do you calculate marginal opportunity cost?

The marginal cost function is the first derivative of the to. How do you calculate marginal opportunity cost? Please subscribe here, thank you!!! Using integration, as the reverse process of differentiation, we obtain, cost function c = ∫ ( mc ) dx + k. It is calculated by taking the total cha. If c is the cost of producing an output x, then marginal cost function mc = dc/dx. Marginal cost calculator this marginal cost calculator allows you to calculate the additional cost of producing more units using the formula: To calculate marginal cost at 7 5 75 7 5 units, we take the derivative of the cost function and then evaluate the derivative at x = 7 5 x=75 x = 7 5. Please subscribe here, thank you!!! C ′ ( x) = 1 2 x + 3 4 c' (x)=12x+34 c ′ ( x) = 1 2 x + 3 4. This only means of course that the price of one unit of a good is equal to the cost (fixed + variable) of producing it. Marginal cost marginal cost is the derivative of the cost function, so take the derivative and evaluate it at x = 100. How do you find the average cost function?

C ′ ( x) = 1 2 x + 3 4 c' (x)=12x+34 c ′ ( x) = 1 2 x + 3 4. This calculus video tutorial provides a basic introduction into marginal cost and average cost. Using integration, as the reverse process of differentiation, we obtain, cost function c = ∫ ( mc ) dx + k. It is calculated by taking the total cha. This only means of course that the price of one unit of a good is equal to the cost (fixed + variable) of producing it.

Answered Compute And Interpret Marginal Cost Bartleby
Answered Compute And Interpret Marginal Cost Bartleby from prod-qna-question-images.s3.amazonaws.com
Please subscribe here, thank you!!! To calculate marginal cost at 7 5 75 7 5 units, we take the derivative of the cost function and then evaluate the derivative at x = 7 5 x=75 x = 7 5. Where k is the constant of integration which is to be evaluated, average cost function ac = c/x, x ≠ 0. Marginal cost = change in costs / change in quantity marginal cost represents the incremental costs incurred when producing additional units of a good or service. Marginal cost marginal cost is the derivative of the cost function, so take the derivative and evaluate it at x = 100. If c is the cost of producing an output x, then marginal cost function mc = dc/dx. How do you find the average cost function? You are right that in perfect competition, price = marginal cost.

The marginal cost function is the first derivative of the to.

If c is the cost of producing an output x, then marginal cost function mc = dc/dx. Marginal cost marginal cost is the derivative of the cost function, so take the derivative and evaluate it at x = 100. Apr 25, 2021 · calculate the marginal cost, marginal revenue and the marginal profit of producing 7 5 75 7 5 phones. You are right that in perfect competition, price = marginal cost. How do you find the average cost function? How does a firm calculate marginal cost? The marginal cost function is the first derivative of the to. How do you calculate marginal opportunity cost? Marginal cost is the change in 'total cost' when quantity produced changes by 1 unit. Thus, the marginal cost at x = 100 is $15 — this is the approximate cost of producing the 101st widget. Marginal cost = change in costs / change in quantity marginal cost represents the incremental costs incurred when producing additional units of a good or service. This only means of course that the price of one unit of a good is equal to the cost (fixed + variable) of producing it. C ′ ( x) = 1 2 x + 3 4 c' (x)=12x+34 c ′ ( x) = 1 2 x + 3 4.